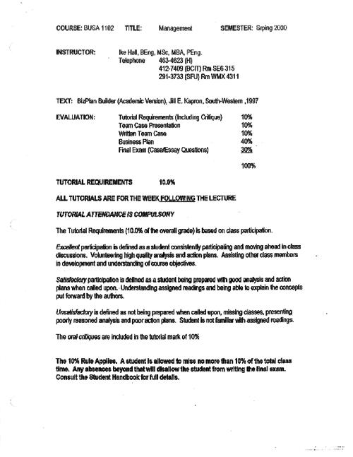
BUSA 1102 - Management | The BCIT cIRcuit

BUSA 1102 - Management